Posts Tagged ‘elementos químicos’
J483: Introducción a la combustión
julio 14, 2012 in Biocombustible, Bioenergía, Bioenergy, Biomasa, Biomass, Calor, Combustión, Combustible fósil, Energía Renovable, Energy Renewable, Residuos Sólidos, Universidad Nacional de Ingeniería, Lima, Perú
Tags: calor, combustibles, elementos químicos, generador de vapor
Un generador de vapor requiere de una fuente de calor a un determinado nivel de temperatura; un combustible fósil se quema en el hogar de la caldera y producir calor, aunque también se puede emplear energía residual procedente de otros procesos.
La combustión es la combinación rápida de O2 con los elementos inflamables del combustible. En la mayoría de los combustibles fósiles hay tres elementos combustibles significativos: C, H2 y S; el S es el de menor importancia como fuente de calor, pero puede tener una influencia importante en problemas de corrosión y contaminación.
El objetivo de una buena combustión es liberar toda la energía del combustible, a la vez que se minimizan las pérdidas derivadas de las imperfecciones de la combustión y del aire.
La combinación de los elementos inflamables del combustible con el oxígeno, requiere de:
- Temperatura lo suficientemente alta para la ignición de los elementos inflamables.
- Turbulencia que facilite el íntimo contacto combustible – oxígeno.
- Tiempo suficiente para completar el proceso.
Estos parámetros se designan frecuentemente como las tres T de la combustión: Temperatura, Tiempo, Turbulencia.
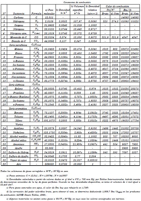
La tabla a continuación relaciona los elementos químicos, simples y compuestos, que se encuentran en los combustibles normalmente utilizados en los diversos tipos de generación de vapor comercial de calor.
Dr. Jorge Luis Mírez Tarrillo
Group of Mathematical Modeling and Numerical Simulation (GMMNS).
Universidad Nacional de Ingeniería. Lima, Perú.
E-mail: jmirez@uni.edu.pe
Website Personal: https://jorgemirez2002.wixsite.com/jorgemirez
Facebook http://www.facebook.com/jorgemirezperu
Linkedin https://www.linkedin.com/in/jorge-luis-mirez-tarrillo-94918423/
Scopus ID: https://www.scopus.com/authid/detail.uri?authorId=56488109800
Google Scholar: https://scholar.google.com/citations?user=_dSpp4YAAAAJ
MATLAB Group Admin in Facebook: https://www.facebook.com/groups/Matlab.Simulink.for.All
WhatsApp Channel/Canal: https://whatsapp.com/channel/0029VbCvpZsAYlUSz2esek2y
Blog in ENGLISH
Compra/Buy – Haz una donación/Make a donation
Dear reader, if you wish to make a donation or are interested in any information or code, please contact me (e-mail: jmirez@uni.edu.pe). Donations will allow you to continue studying and researching, and also to provide more information on this blog. My PayPal account is jorgemirez2002@gmail.com or if it is by bank transfer write to my email jmirez@uni.edu.pe. Any amount of money is welcome. Thank you.
Estimado lector, si desean hacer una donación o le interesa alguna información o código, favor ponerse en contacto con mi persona (e-mail: jmirez@uni.edu.pe). Las donaciones va a permitir seguir estudiando e investigando, y además, el poder brindar más información en este blog. Mi cuenta en PayPal es jorgemirez2002@gmail.com o si es por transferencia bancaria escribirme a mi correo jmirez@uni.edu.pe. Cualquier cantidad de dinero es bienvenido. Gracias.
-
Entradas Recientes
- J1169: Modelado y simulación de un coeficiente de potencia expresado en términos del TSR usando MATLAB– Modeling and simulation of a power coefficient expressed in terms of the TSR using MATLAB
- A quienes deseen donar para investigación científica realizar
- J1168: El uso de gusanos para procesar plásticos de baja densidad…
- J1167: Proyecciones de la emisiones de dióxido de carbono y de producto bruto interno per cápita para países/regiones seleccionados en los STEPS (escenario basado en las actuales políticas) y APS (escenario de compromisos anunciados) según la Agencia Internacional de Energía (IEA).
- J1166: Consumo final total per cápita y por unidad del Producto Bruto Interno (GDP) según escenario, 2000 – 2050.
- News: Participo en el Technical Program Committee de IEEE-ROPEC 2025.
- J1165: Simulación de la potencia activa, potencia reactiva, potencia aparente y factor de potencia oscilando aleatoriamiento en el tiempo, usando MATLAB.
- J1164: Mix de la energía global por escenario para el 2025.
- Grabación de Entrevista en TVPerú – Programa Jiwasanaka – Miércoles 16 de julio del 2025…
- J1163: Paper Sustainable Thermal Energy Storage Systems: A Mathematical Model of the “Waru-Waru” Agricultural Technique Used in Cold Environments by Jorge Luis Mírez Tarrillo. Energies 2025, 18(12), 3116.
Datos Generales
Good day. My full name is Jorge Luis MIREZ TARRILLO.
I am Peruvian and live in Lima, capital of Perú in South America.I am Mechanical Electrical Engineering, MSc Physics and Dr. Physics (title doctoral thesis: Control, Optimization, and Management of Microgrid Current Direct)
Too, actually job as Principal Professor in Faculty of Oil, Gas and Petrochemical Engineering of Universidad Nacional de Ingeniería (National University of Engineering) in Lima – PERU (Courses: Modern Physics, Differential Equations and Research's Methodology)
My subjects of my interest are control, signal processing, optimization, simulation, biomedical research, smart grid, microgrid, water.
I have experience in Matlab/Simulink programming, biomedical equipment, electrical systems, renewable energies, microgrids, saturated steam systems 100 psi and organizing academic events.
Posts Más Vistos
Suscripción por correo electrónico
Únete a otros 195 suscriptores
Información Adicional en mi Blog
- About of Jorge Luis Mírez Tarrillo (Jorge Mírez).
- Agenda
- Bibliography
- Carrito
- Cooperation / Collaborations
- Donations/Donaciones
- Finalizar compra
- Mi cuenta
- My Cover Letter (Jorge Mírez)
- My CV (in pdf)
- My Fanpage in Facebook
- My Linkedin
- My Scholar Google
- My Twitter @jorgemirez2002
- Personal Website
- PERU Green Smart Energy SAC
- Tienda
- What do I research?
Listado Total de Entradas
- abril 2026 (2)
- diciembre 2025 (1)
- agosto 2025 (3)
- julio 2025 (3)
- junio 2025 (2)
- abril 2025 (1)
- marzo 2025 (2)
- octubre 2024 (1)
- junio 2024 (2)
- marzo 2024 (1)
- enero 2024 (2)
- diciembre 2023 (5)
- noviembre 2023 (3)
- octubre 2023 (3)
- julio 2023 (4)
- junio 2023 (8)
- abril 2023 (2)
- marzo 2023 (4)
- febrero 2023 (3)
- diciembre 2022 (6)
- agosto 2022 (1)
- abril 2022 (2)
- noviembre 2021 (1)
- octubre 2021 (4)
- agosto 2021 (2)
- mayo 2021 (3)
- marzo 2021 (2)
- febrero 2021 (1)
- diciembre 2020 (1)
- noviembre 2020 (4)
- septiembre 2020 (1)
- abril 2020 (3)
- marzo 2020 (10)
- febrero 2020 (23)
- enero 2020 (8)
- diciembre 2019 (2)
- noviembre 2019 (2)
- octubre 2019 (2)
- agosto 2019 (10)
- julio 2019 (4)
- junio 2019 (3)
- abril 2019 (8)
- marzo 2019 (4)
- febrero 2019 (2)
- enero 2019 (1)
- diciembre 2018 (4)
- octubre 2018 (4)
- septiembre 2018 (1)
- julio 2018 (9)
- junio 2018 (1)
- mayo 2018 (2)
- abril 2018 (1)
- marzo 2018 (2)
- enero 2018 (2)
- diciembre 2017 (2)
- noviembre 2017 (3)
- octubre 2017 (7)
- septiembre 2017 (3)
- agosto 2017 (6)
- julio 2017 (1)
- junio 2017 (3)
- mayo 2017 (1)
- abril 2017 (2)
- marzo 2017 (4)
- febrero 2017 (2)
- enero 2017 (1)
- diciembre 2016 (17)
- noviembre 2016 (5)
- octubre 2016 (4)
- septiembre 2016 (1)
- agosto 2016 (22)
- julio 2016 (1)
- junio 2016 (3)
- abril 2016 (1)
- marzo 2016 (33)
- febrero 2016 (34)
- enero 2016 (25)
- diciembre 2015 (16)
- noviembre 2015 (13)
- octubre 2015 (10)
- septiembre 2015 (12)
- agosto 2015 (26)
- julio 2015 (7)
- junio 2015 (44)
- mayo 2015 (20)
- abril 2015 (5)
- marzo 2015 (15)
- febrero 2015 (8)
- enero 2015 (2)
- diciembre 2014 (7)
- noviembre 2014 (25)
- octubre 2014 (13)
- septiembre 2014 (6)
- agosto 2014 (10)
- julio 2014 (19)
- junio 2014 (10)
- mayo 2014 (4)
- abril 2014 (3)
- marzo 2014 (15)
- febrero 2014 (2)
- enero 2014 (10)
- diciembre 2013 (6)
- noviembre 2013 (15)
- octubre 2013 (11)
- septiembre 2013 (7)
- agosto 2013 (2)
- julio 2013 (4)
- junio 2013 (13)
- mayo 2013 (3)
- marzo 2013 (5)
- febrero 2013 (13)
- enero 2013 (14)
- diciembre 2012 (8)
- noviembre 2012 (18)
- octubre 2012 (15)
- septiembre 2012 (12)
- agosto 2012 (10)
- julio 2012 (13)
- junio 2012 (5)
- mayo 2012 (15)
- abril 2012 (7)
- marzo 2012 (22)
- febrero 2012 (36)
- enero 2012 (14)
- diciembre 2011 (14)
- noviembre 2011 (25)
- octubre 2011 (4)
- septiembre 2011 (6)
- agosto 2011 (19)
- julio 2011 (35)
- junio 2011 (6)
- mayo 2011 (30)
- abril 2011 (17)
- marzo 2011 (21)
- febrero 2011 (15)
- enero 2011 (28)
- diciembre 2010 (16)
- noviembre 2010 (35)
- octubre 2010 (20)
- septiembre 2010 (42)
- agosto 2010 (5)
- julio 2010 (18)
- junio 2010 (12)
- mayo 2010 (3)
- abril 2010 (4)
- enero 2010 (1)
- octubre 2009 (1)
Buscar en el Blog
Calendario
Catergorías
- AC Grid
- Aerogenerador
- Almacenamiento
- Almacenamiento de Energía Térmica
- Artículo Científico
- Auto eléctrico
- Baja Tensión
- Bank condenser
- Batería
- baterías
- Battery
- Biocombustible
- Biodigestor
- Bioenergía
- Bioenergy
- Biomasa
- Biomass
- Calor
- Cambio climático
- Capacitor
- Célula de Combustible
- CEDER_CIEMAT
- Celda de Combustible
- Celda Solar
- Central Eléctrica Mareometriz
- Central Solar
- Centrales Eléctricas
- CHP
- Colector Solar
- Combustión
- Combustible fósil
- Cometa
- Concentrador Solar Cilíndrico Parabólico
- Condensador
- Conductor
- Confiabilidad
- Control
- Corriente Alterna
- Corriente Continua
- DC Microgrid
- Desarrollo
- Diesel Motor
- Distribuited Generation
- Distribution system
- Disturbance
- Eólica
- Eficiencia Energética
- Electrónica de Potencia
- Electric car
- Electrical Market
- Energía Eólica
- Energía Eléctrica
- Energía mareomotriz
- Energía Renovable
- Energía Solar
- Energía Térmica
- Energy Renewable
- Enviromental
- Estabilidad
- Fasor
- Fiabilidad
- Flywheel
- Fuel Cell
- Gas
- Generación Distribuida
- Generador
- Geotérmica
- Geothermal
- Gestión Tecnológica
- Grafeno
- Gusano
- Hardware in Loop
- Heat Transfer
- Hidrógeno
- HVDC
- Hydrogen
- Iluminación
- Incineración
- Innovación
- Innovation
- Intercambiador de Calor
- Interconexión de Redes Eléctricas
- Interconnection
- inversor eléctrico
- Inverter
- Investigación
- Jorge Luis Mírez Tarrillo
- Kit wind
- Líneas de Transmisión
- Lecho Fluidizado
- LED
- Lima
- Load
- Management
- Mapa
- Matlab
- Matlab / Simulink
- Máquinas Eléctricas
- Media Tensión
- Medio Ambiente
- Mercado
- Metering
- Micro-source
- micro-turbine
- Microgrid
- Microgrid DC
- MicroGrid Eléctrica
- Microred eléctrica
- Microturbina
- Microturbine
- Minicentral hidroeléctrica
- Modelamiento
- Modelling
- Motor
- Motor Stirling
- Nanotechnology
- Nanotecnología
- National University of Engineerning, Lima, Peru
- Natural Resource
- Oil
- Optimización
- Optimization
- Panel Solar
- Paper
- Parque Eólico
- peru
- Petróleo
- Power Electronic
- Power Plant
- Power Quality Calidad de la Energía
- PV
- Quality Energy
- rectificador eléctrico
- Rectifier
- Recurso natural
- Renewable Energy
- Research
- Residuos Sólidos
- Seguridad Energética
- Semiconductor
- Simulación
- Simulink
- sistema de distribución
- Sistema Eléctrico System Electric
- Sistemas Eléctricos de Potencia
- Smart Grid
- SMES
- Solar
- Solar Cell
- Solar Térmica
- Sostenibilidad ambiental
- Storage
- Supercondensador
- Superconductive Magnetic Energy Storage
- Superconductividad
- Superconductor
- Sustainable management
- Technology
- Tecnología
- Teoría de Control y Automatización
- Tesis
- Thermal Energy Storage
- Torre Solar
- Transferencia de Calor
- Transformada de Laplace
- Transformador
- Transformer
- Transitorio Transient
- Transmission Line
- Turbina
- Turbina Eólica
- Turbina submarina
- Ultracondensador
- Uncategorized
- Universidad Nacional de Ingeniería, Lima, Perú
- Viento
- Virtual Power Plants
- Volante de Inercia
- Voltaje
- Wind Power
- Wind PV
- Wind Turbine
- Worm
Estadísticas de mi Blog
- 784.771 hits
Lo mejor de mi blog…
Top Clicks
- Nada
Etiquetas…
2011 2012 2012 la demanda de energía eléctrica 2014 abb abono absorber ac dc acidez aerogenerador aerosoles agente reductor agricultor ahorro energético Alemania algas almacenamiento de energía América Latina análisis de confiabilidad análisis de datos Asesoramiento ATS automatic transfer switch bacterias anaerobias banco de condensadores banco de desarrollo banda de valencia bases de datos basuras batería beneficio berzelius beta biocombustibles bioetanol biofuel biomasa blackout blog bombas de calor bombeo de agua buenas ideas cadena alimenticia cadena de valor caja de cambios calentamiento calidad de energía calidad del servicio california energy calor calor latente cambio climático campo electromagnético campo eléctrico campo gravitatorio campo magnético capacidad de producción de energía eólica capacidad instalada Capacitaciòn capacitancia capacitores cardo carga eléctrica catalizador celdas de combustible celdas fotovoltaicas celda solar celdas solares celulosa cenizas central caldera centrales eólicas centrales hidroeléctricas central eólica central solar fotovoltaica centro america Centro América y Antillas centros mineros Charla Chile chota cianobacterias ciudad de lima cocina colapse colapso colectores solares colector solar comburente combustibles combustibles fósiles competitividad complejidad complejo cultural componentes del aire comportamiento aleatorio compost compostaje comunidad andina concentrador concepto de líneas condición de funcionamiento conductividad eléctrica conductividad térmica conexión eléctrica Conference confiabilidad utilizados congreso nacional constante universal de los gases constant power construcciones consumo de electricidad consumo de energía consumo energético consumos de energía contadores de energía contaminantes Control controlador supervisor control de temperatura control de velocidad control theory control vector conversión de energía conversores convertidor convertidores convertors Coogeneración corriente ac corriente alterna corriente continua crecimiento económico crecimiento humano CTIC cultivos datos estadísticos DC dc link Decisiones densidad de campo denton texas depuración de gases DER desarrollo de habilidades Desarrollo de tema desarrollo sustentable desarrollo tecnológico descargas design efficiencies desplazamiento desviación estándar diagrama esquemático DIEMS digestor Dinamarca diodos emisores de luz Dirección General de Hidrocarburos discovery workshop dispersión de Rayleigh Disponibilidad de viento distribuciones teóricas distribución de la electricidad distributed generation distributed resources Disturbance diversidad biologica diversidad de especies dióxido de carbono DPSG duración media día eci economic vision economista ecosistema terrestre efecto corona efecto invernadero eficiencia cuántica eficiencia de energía eficiencia energética eje horizontal ejemplo de algoritmo el agua el calentamiento global el carbono el clima el día electrical distribution electrical eng electricidad electricidad autónomas electricidad solar electricity and magnetism electricity distribution electrodo electrones electrones de valencia electronic power electrónica de potencia elementos químicos el factor de potencia el medio ambiente el petroleo El sistema de distribución de energía eléctrica El sistema de gestión de energía el sistema de potencia el sistema de transmisión el tiempo el vidrio embalses de agua emergence Empresa Peruana ELECIN energy management energy management system energía cinética energía complementaria energía del viento energía eléctrica energía específica Energía Eólica Energía Híbrido energía interna energía mecánica energía potencial energía primaria energía reactiva Energía Solar energía solar fotovoltaica energía sostenible Energías Renovables energía térmica engineer error absoluto medio error sistemático escuela superior especie humana espectro de absorción espectro solar estaciones del año estados banda de Conducción estados banda de Valencia Estados Unidos de América esto estrategias estrategias de control europa evento exceso de energía fabricantes de automóviles factor de potencia Facultad de Ciencias falla fallas Fenómeno del Niño financiamiento fitoplancton flora fauna flora y fauna fluido en movimiento flujo de calor fortalezas fuente de energía fuente de energía renovable Fuente de Voltaje fuentes Fuentes Alternativas fuentes de energía fuerza función de distribución de probabilidad gamesa gases gas natural generación de electricidad generación de energía eléctrica generación de números aleatorios generación distribuida generación fotovoltaica generación hidroeléctrica generador de vapor generador eléctrico generadores gestión gestión integral global discovery gobierno de chile GW hardware development Hidrógeno hispano hablantes hora punta hora valle huancayo hvdc hábitos de consumo IEEE ingeniero ingeniería eléctrica instalaciones de energías renovables instalaciones eléctricas institución privada intensidad de la luz intercambiador de calor intercambiadores de calor interfaces mejoradas interferencia interferencia electromagnética inversiones financieras inversor monofásico investigación y desarrollo irradiación solar johannesburg 2002 Jorge Luis Mírez Tarrillo Juan José karl ziegler kilómetro cuadrado klebsiella Kolmogorov Smimov kV kw la banda de conducción la banda de valencia a la banda la banda prohibida la biodiversidad Laboratorio Nacional la celda La Central Eólica Tres Hermanas la concentración la empresa la góndola la información la madera la Mars Desert Research Station la remolacha la resistencia las especies la señal eléctrica las fuentes de energía las fuentes de energías renovables las máquinas de combustión interna las nubes las partículas elementales las plantas lead lecho fluidizado lenguaje de programación ley de los gases lima peru local area network longitud de onda longitudes de onda los costos los ecosistemas los glaciares los grandes aerogeneradores los seres vivos luz solar línea de transmisión líneas de alta tensión líneas de fuerza líneas de transmisión machine component magnetism course management schemes Mapa eólico mapa solar maravillas del mundo Mars Society Mars Society Perú masa de aire materia orgánica MathWorks Inc matlab Matlab/Simulink Matlab de MathWork Inc. Matlab de MathWorks Inc. Matlab Simulink mecánica cuántica Medio Ambiente medium term mentor mercado eléctrico mercados globales mes metales metropolitan area network mezcla Microgrid microturbina Ministerio de Energía y Minas Ministerio de Energía y Minas de Perú modelamiento matemático Modelamiento Simulación modeling and simulation modelo modelos matemáticos Molinos de viento Montevideo motor diesel motores motores diesel motores stirling motor stirling msc physics Muchas gracias por sus visitas máquinas de combustión interna máxima demanda máxima potencia métodos de optimización naciones unidas nbsp necesidades sociales niobium niveles de energía north texas unt novel technologies nuevas tecnologias números aleatorios números complejos Optimización de Microgrids de Corriente Continua organizaciones internacionales Orientaciòn oxidos paises de europa paneles solares paneles solares fotovoltaicos panel fotovoltaico panel solar parque eólico patrones país en vías de desarrollo países del norte de Europa pendiente negativa peru pesos moleculares Planeamiento del Sistema de Potencia planta planta piloto plug and play ponencia potencia potencia activa potencia de salida potencia específica potencia eólica potencia instalada potencia mecánica potencia reactiva power quality ppt precios de electricidad procariotas procesos de transferencia de calor procesos industriales producción de electricidad producción de energía producción de energía eléctrica productos derivados propagación de ondas electromagneticas proporciones protocolo de kyoto protones prototype punto de vista pyme quality capacitors radiación solar Radio RBC Radio reactivos reactor reactores reciclaje reconfiguration rectificador recuperación económica recuperador de calor recurso natural recursos naturales red eléctrica redes redes eléctricas redes inteligentes region arequipa región Tacna reino vegetal rellenos sanitarios RER research collaborations residuos sólidos urbanos residuos urbanos resource production revistas indexadas rh robert stirling rocas carbonatadas rotor ru rumen sakamoto sala de operaciones semiconductor sensores ser Premios Nobel signal processing Silicio simulaciones simulation simulink sistema compuesto sistema de control sistema de distribución sistema de gestión de energía sistema de potencia Sistema Eléctrico sistemas de almacenamiento sistemas de control sistemas de distribución de energía sistemas de potencia sistemas de transmisión Sistemas Eléctricos smes sobrevivencia software y hardware sol solar chimney solar electric generating system solar fotovoltaica solar térmica solventes sorgo specific energy specific power state of art steve jobs stock Storage subsuelo suministro de electricidad superconductor supervisory control and data acquisition sustainable yield tanques de almacenamiento Technical Program Committee tecnologías de la información tejidos temas de investigación tendence teoría de control thermal energy storage tiempo real tierra y mar titanium alloy toma de decisiones torque transferencia de calor transformadores transformadores de distribución transformadores de potencia transmisión matriz Tres Hermanas turbina turbina de vapor turbina eólica turbinas turbinas de gas turbinas de viento turbinas eólicas técnicas de almacenamiento UNI unidad de tiempo uniforme universidad nacional Universidad Nacional de Ingeniería unprg vapor de agua velocidad angular velocidad del viento velocidad de rotación ventaja competitiva viento y sol Voltage wavelets workshop itinerary world summit on sustainable development y control ácido sulfúrico ángulo de ataqueComentarios Recientes
Elementos que compon… en J506: Los elementos de un paqu… Dr. Jorge Mírez en Message by IEEE Community Dr. Jorge Mírez en J546: Simulación de campos mag… jose luis huayanay v… en Message by IEEE Community Cesar Aviles en J546: Simulación de campos mag… Dr. Jorge Mírez en J518: La herramienta pdetool d… Dr. Jorge Mírez en J496: Simulación en Matlab/Sim… Raúl Barrios Elizarr… en J496: Simulación en Matlab/Sim… jose luis huayanay v… en J518: La herramienta pdetool d… MSc. Jorge Mírez en J281: La Rosa de Vientos: Frec… Nube de categorías
Aerogenerador Centrales Eléctricas Central Solar Distribuited Generation Energy Renewable Energía Eléctrica Energía Eólica Energía Renovable Energía Solar Eólica Generación Distribuida Matlab Matlab / Simulink Medio Ambiente Microgrid MicroGrid Eléctrica Microred eléctrica Modelamiento National University of Engineerning, Lima, Peru Power Plant Renewable Energy Simulación Sistema Eléctrico System Electric Sistemas Eléctricos de Potencia Smart Grid Teoría de Control y Automatización Turbina Universidad Nacional de Ingeniería, Lima, Perú Wind Power Wind Turbine



Debe estar conectado para enviar un comentario.